BAOSI VACUUM DFFZ250/2000PM-W, Water-cooling Turbomolecular Vacuum Pump
FEATURES
- 1. Grease lubricated
- 2. water cooling
- 3. Installation on any angle
TECHNICAL PARAMETER
| Model |
|
DFFZ250/2000PM-W |
| Inlet flange |
- |
CF250 |
LF250 |
| Outlet flange |
- |
KF40 |
| Pumping speed |
L/s |
2000 |
| Compression ratio N2/H2 |
- |
1×108/6×103 |
| Ultimate pressure |
Pa |
6×10-6 |
6×10-7 |
| Rotation speed |
rpm |
24000 |
| Run-up time |
min |
<7 |
| Vibration |
μm |
≤0.15 |
| Forevacuum pump speed |
L/s |
15 |
| Cooling water temperature |
|
≤25 |
| Cooling water flow |
L/s |
≥1 |
| Max Power |
W |
≤700 |
| Voltage |
V |
220 |
| Installation direction |
- |
Any direction |
| Weight |
kg |
42kgs |
Outside Drawing

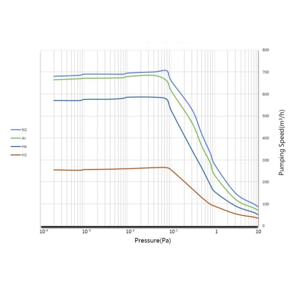
Pumping Curve
APPLICATIONS :
Oil-lubricated turbomolecular pumps are widely applied in multiple industrial fields with their excellent vacuum performance, stable operation, and cost-effective characteristics. Their main application industries are as follows:
➢ Semiconductor & Microelectronics
➢ Vacuum Coating (PVD/CVD)
➢ Scientific Research & Laboratory Analysis
➢ Vacuum Heat Treatment & Metallurgy
➢ Optoelectronics & Laser Manufacturing
➢ Lithium Battery & New Energy Material Processing
➢ Analytical Instrumentation