
Control scale: Up to 256 points (when CC-Link and AnyWire remote I / O are configured)
・ Terminal block type standard machine that can add input / output
・ System upgrades such as analog and communication are possible
・ Function expansion board 2 Units can be connected (only one unit can be connected for 14-point and 24-point types)
-Easy measurement of input pulse width and cycle with high accuracy of 10 μs (high-speed pulse width / pulse cycle measurement function)
-Sequence control to capture short signals Easy setting (pulse catch function)
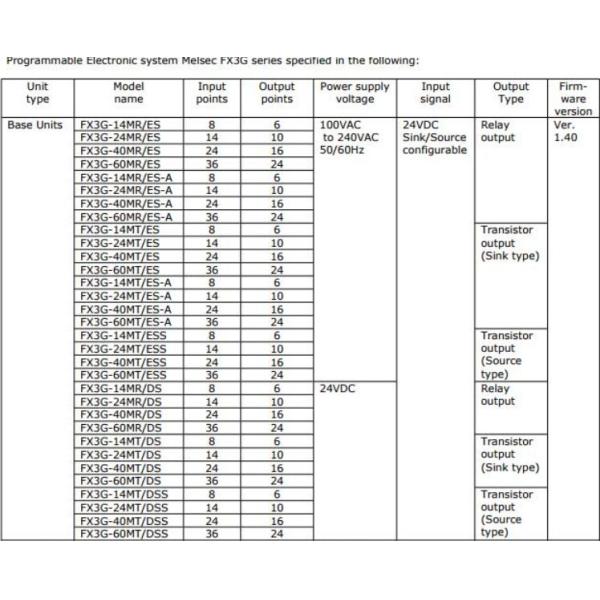
| Type | FX3G |
|---|---|
| Power Supply (V) | 100-240 |
| Current Type | AC |
| Program Memory | 32K STEPS |
| Program Memory Unit | EEPROM |
| Integrated Digital Inputs | 36 |
| Integrated Digital Outputs | 24 |
| Integrated Analogue Inputs | N/A |
| Output Type | RELAY |
| Output Logic | N/A |
| Local I/O Points | 128 |
| Local + Remote I/O Points | 256 |
| Expandable | YES |
| Cycle Time LD (ns) | 210 |
| Cycle Time MOV (ns) | 500 |
| USB | 1 |
| Ethernet Port | N/A |
| RS-232 | N/A |
| RS-422 | 1 |
| RS-485 | N/A |
| Power Consumption (W) | 40 |
| Buffer Battery | OPTION |
| Protection Class | IP10 |
| Min. Ambient Temperature (°C) | 0 |
| Max. Ambient Temperature (°C) | 55 |
| Series | MELSEC-F SERIES |
| Width (mm) | 175 |
|---|---|
| Height (mm) | 90 |
| Depth (mm) | 86 |
| Weight (kg) | 0,85 |

