SunCel 3000 ultrafine, new generation of thermostable and fine granule cellulase used as NSP enzyme to improve feed utilization.
SunCel 3000 ultrafine is a highly efficacious cellulase, produced from novel strains through submerged liquid fermentation technology. SunCel 3000 ultrafine can hydrolyze cellulose containing β-1,4 glycosidic bond to produce oligosaccharides, which was finally degraded into glucose. Cellulase can markedly eliminate the anti-nutritional effect of cellulose, and thus significantly improve digestibility of ingredients and the growth of animals.
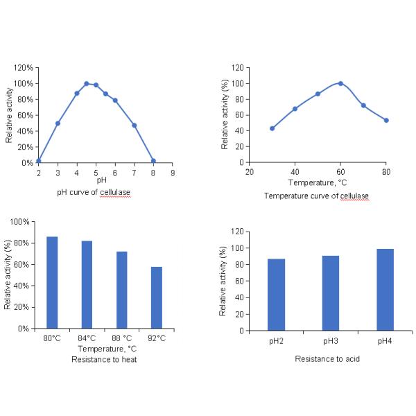
Product characteristics (Figure 1)

Table 1. Specification of SunCel 3000 ultrafine
| Name of product | SunCel 3000 ultrafine | ||
| Activity, U/g | 3000 | Form | Ultrafine granule |
| Active ingredient | Cellulase | Carrier | Corn starch |
| Appearance | White to slight yellow | Odor | Undetectable |
| Dosage | 100-200g/T feed | Application | Animal feed |
| Place of origin | Wuhan, China 430206 | Shelf-life | 18 months |
| Certification | FAMI-QS, ISO9001, ISO22000 | According to | Q/XHY 05-2018 |
Benefits
Break the structure of cell wall of plant ingredients;
Release intracellular protein, lipid and carbohydrate of plant ingredients;
Reduce the viscosity of the chyme;
Inhibit the proliferation of intestinal harmful bacteria;
Improve the intestinal morphology of animals.
Package
25 kg/bag
Shelf-life and Storage
18 months, preserved in cool (<25°C) and dry place.